题目内容
已知函数
(
,
),
.
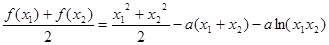
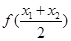
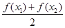
(Ⅰ)证明:当
时,对于任意不相等的两个正实数
、
,均有
成立;
(Ⅱ)记
,若
在
上单调递增,求实数
的取值范围;
【答案】
(Ⅰ)详见解析;(Ⅱ)![]()
【解析】
试题分析:(Ⅰ)当
时,对于任意不相等的两个正实数
、
,均有
成立,只需求出
与
的解析式,两式作差得![]()
,判断符号即可证明;(Ⅱ)记
,若
在
上单调递增,求实数
的取值范围,首先求出
的解析式,从而得
,若它在
上单调递增,即它的导函数在
上恒大于零,得
恒成立,这是恒成立问题,只需把含有
的放到不等式的一侧,不含
的放到不等式的另一侧,即
,转化为求
的最大值问题,可利用导数求出最大值,从而可得实数
的取值范围.
试题解析:(Ⅰ)证明:
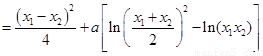
,
,
,则
①
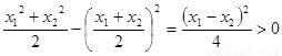
,则
,②
由①②知
.
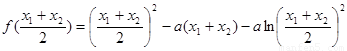
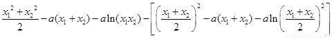
(Ⅱ)
,
,
令
,则
在
上单调递增.
,则当
时,
恒成立,
即当
时,
恒成立.
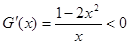
令
,则当
时,
,
故
在
上单调递减,从而
,
故
.(14分)
考点:作差法证明不等式,函数的导数与单调性,导数与不等式.
练习册系列答案
相关题目
| π |
| 2 |
A、f(x)=2sin(
| ||||
B、f(x)=2sin(
| ||||
C、f(x)=2sin(2x-
| ||||
D、f(x)=2sin(2x+
|