题目内容
复数
等于( )
A.
B.
C.
D.
【答案】
A
【解析】
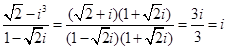
试题分析:
,选A.
考点:复数的四则运算.
练习册系列答案
相关题目
题目内容
复数
等于( )
A.
B.
C.
D.
A
【解析】
试题分析:
,选A.
考点:复数的四则运算.