题目内容
如图是一个算法的程序框图,该算法输出的结果是 ( )
![]()
A.
B.
C.
D. ![]()
【答案】
C
【解析】
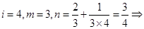
试题分析:![]()
![]()
![]()
![]()
,结束,故选C.
考点:程序框图和循环赋值计算.
练习册系列答案
相关题目
| 1 |
| 3 |
| A、y=x3 | ||
| B、y=3-x | ||
| C、y=3x | ||
D、y=x
|
| 4 |
| 5 |
| A、T>4 | B、T<4 |
| C、T>3 | D、T<3 |