题目内容
△ABC的内角A、B、C的对边分别为a、b、c,若a、b、c成等比数列,且c=2a,则cosB=( )A.
B.
C.
D.
【答案】分析:根据等比数列的性质,可得b=
a,将c、b与a的关系结合余弦定理分析可得答案.
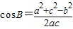
解答:解:△ABC中,a、b、c成等比数列,且c=2a,
则b=
a,
=
,
故选B.
点评:本题考查余弦定理的运用,要牢记余弦定理的两种形式,并能熟练应用.
解答:解:△ABC中,a、b、c成等比数列,且c=2a,
则b=
故选B.
点评:本题考查余弦定理的运用,要牢记余弦定理的两种形式,并能熟练应用.
练习册系列答案
相关题目