题目内容
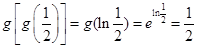
设 则 .
【解析】
试题分析:.
考点:分段函数求值.
设全集U=Z,A={x|x=2n,n∈Z},B={x|x=2m+1,m∈Z},则集合A∩(UB)等于( )?
A.{x|x=2k+1,k∈Z}? B.{x|x=,k∈Z}?
C.{x|x=Z,k∈Z}? D.{x|x=2k,k∈Z}
设S=Z,A={x|x=2k,k∈Z},B={x|x=2k+1,k∈Z},则下列关系式中错误的是
A. SA=B
B. SB=A
C. S(SA)=B
D. S=Z
(06年辽宁卷)设则 .