题目内容
已知实数
满足:
,
,则
的最大值是___________
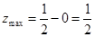
【答案】
![]()
【解析】
试题分析:不等式组
所表示的平面区域如下图中的阴影部分的区域表示,联立
,解得
,得点
,作直线
,则
为直线
在
轴上的截距,当直线
经过区域中的点
时,直线
在
轴上的截距最大,此时
取最大值,即
.
![]()
考点:线性规划
练习册系列答案
相关题目