题目内容

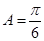
在△ABC中,内角A,B,C的对边分别是,b,c.若 ,则角

 

【答案】

【解析】

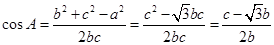
试题分析:本题求三角形的角,由题设条件,可用余弦定理,因此首先把角的关系转化为边的关系,这只要利用正弦定理,可得,因此

,故.

考点:正弦定理与余弦定理.

 

练习册系列答案
相关题目

违法和不良信息举报电话:027-86699610 举报邮箱:58377363@163.com

精英家教网