题目内容
已知甲盒内有大小相同的1个红球和3个黑球,乙盒内有大小相同的2个红球和4个黑球.现在从甲、乙两个盒内各任取2个球.(Ⅰ)求取出的4个球均为黑色球的概率;
(Ⅱ)求取出的4个球中恰有1个红球的概率;
(Ⅲ)设ξ为取出的4个球中红球的个数,求ξ的分布列和数学期望.
【答案】分析:(1)取出的4个球均为黑色球包括从甲盒内取出的2个球均黑球且从乙盒内取出的2个球为黑球,这两个事件是相互独立的,根据相互独立事件同时发生的概率得到结果.
(2)取出的4个球中恰有1个红球表示从甲盒内取出的2个球均为黑球;从乙盒内取出的2个球中,1个是红红,1个是黑球或从甲盒内取出的2个球中,1个是红球,1个是黑球;从乙盒内取出的2个球均为黑球两种情况,它们是互斥的.
(3)ξ为取出的4个球中红球的个数,则ξ可能的取值为0,1,2,3.结合前两问的解法得到结果,写出分布列和期望.
解答:解:(I)设“从甲盒内取出的2个球均黑球”为事件A,
“从乙盒内取出的2个球为黑球”为事件B.
∵事件A,B相互独立,
且
.
∴取出的4个球均为黑球的概率为P(A•B)=P(A)•P(B)=
.
(II)解:设“从甲盒内取出的2个球均为黑球;从乙盒内取出的2个球中,1个是红红,1个是黑球”为事件C,
“从甲盒内取出的2个球中,1个是红球,1个是黑球;从乙盒内取出的2个球均为黑球”为事件D.
∵事件C,D互斥,
且
.
∴取出的4个球中恰有1个红球的概率为P(C+D)=P(C)+P(D)=
.
(III)解:ξ可能的取值为0,1,2,3.
由(I),(II)得
,
又
,
从而P(ξ=2)=1-P(ξ=0)-P(ξ=1)-P(ξ=3)=
.
ξ的分布列为

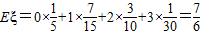
ξ的数学期望
.
点评:本小题主要考查互斥事件、相互独立事件、离散型随机变量的分布列和数学期望等基础知识,考查运用概率知识解决实际问题的能力.
(2)取出的4个球中恰有1个红球表示从甲盒内取出的2个球均为黑球;从乙盒内取出的2个球中,1个是红红,1个是黑球或从甲盒内取出的2个球中,1个是红球,1个是黑球;从乙盒内取出的2个球均为黑球两种情况,它们是互斥的.
(3)ξ为取出的4个球中红球的个数,则ξ可能的取值为0,1,2,3.结合前两问的解法得到结果,写出分布列和期望.
解答:解:(I)设“从甲盒内取出的2个球均黑球”为事件A,
“从乙盒内取出的2个球为黑球”为事件B.
∵事件A,B相互独立,
且
∴取出的4个球均为黑球的概率为P(A•B)=P(A)•P(B)=
(II)解:设“从甲盒内取出的2个球均为黑球;从乙盒内取出的2个球中,1个是红红,1个是黑球”为事件C,
“从甲盒内取出的2个球中,1个是红球,1个是黑球;从乙盒内取出的2个球均为黑球”为事件D.
∵事件C,D互斥,
且
∴取出的4个球中恰有1个红球的概率为P(C+D)=P(C)+P(D)=
(III)解:ξ可能的取值为0,1,2,3.
由(I),(II)得
又
从而P(ξ=2)=1-P(ξ=0)-P(ξ=1)-P(ξ=3)=
ξ的分布列为
ξ的数学期望
点评:本小题主要考查互斥事件、相互独立事件、离散型随机变量的分布列和数学期望等基础知识,考查运用概率知识解决实际问题的能力.
练习册系列答案
相关题目