题目内容
已知点(a,2)(a>0)到直线l:x-y+3=0的距离为1,则a=( )A.
B.
C.
D.
【答案】分析:利用点到直线距离公式,可以直接求解.
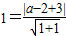
解答:解:由点到直线的距离公式得:
=
,
∵a>0,
∴a=
.
故选C.
点评:点到直线的距离公式,是高中数学的重要知识,是高考常考点.
解答:解:由点到直线的距离公式得:
∵a>0,
∴a=
故选C.
点评:点到直线的距离公式,是高中数学的重要知识,是高考常考点.
练习册系列答案
相关题目
已知点(a,2)(a>0)到直线l:x-y+3=0的距离为1,则a=( )
A、
| ||
B、2-
| ||
C、
| ||
D、
|