题目内容
已知函数f(x)=
x2+ax-(a+1)lnx(a<-1),
(Ⅰ)若函数f(x)在x=2处的切线与x轴平行,求a的值;
(Ⅱ)在(Ⅰ)的条件下,求出f(x)的极值;
(Ⅲ)若对任意的x∈[1,-a],有|x·f′(x)|≤2a2恒成立,求a的取值范围。
(Ⅰ)若函数f(x)在x=2处的切线与x轴平行,求a的值;
(Ⅱ)在(Ⅰ)的条件下,求出f(x)的极值;
(Ⅲ)若对任意的x∈[1,-a],有|x·f′(x)|≤2a2恒成立,求a的取值范围。
解:(Ⅰ)f(x)的定义域为(0,+∞),
f′(x)=x+a-
,
因为f(x)在x=2处的切线与x轴平行,则f′(2)=0,得a=-3;
(Ⅱ)由(Ⅰ)知f′(x)=
,
则f(x)在(0,1)上单调递增,在(1,2)上单调递减,在(2,+∞)上单调递增,
则当x=1时,f(x)有极大值
,
当x=2时,f(x)有极小值f(2)=-4+2ln2。
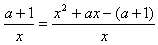
(Ⅲ)令g(x)=x·f′(x)=x2+ax-(a+1),x∈[1,-a],
依题意,x∈[1,-a]时,-2a2≤g(x)≤2a2恒成立;
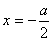
即g(x)min≥-2a2且g(x)max≤2a2,而g(x)的对称轴为
,
(ⅰ)当
时,即当-2<a<-1时,
g(x)min=g(1)=0>-2a2成立,g(x)max=g(-a)=-a-1≤2a2也成立;
故-2<a<-1符合题意;
(ⅱ)当
时,即a≤-2时,
由
,解得
(舍),
g(x)max=g(-a)=-a-1≤2a2成立或g(x)max=g(1)=0≤2a2也成立,故a≤-2符合题意;
综合(ⅰ)(ⅱ)知a<-1都符合题意。
f′(x)=x+a-
因为f(x)在x=2处的切线与x轴平行,则f′(2)=0,得a=-3;
(Ⅱ)由(Ⅰ)知f′(x)=
则f(x)在(0,1)上单调递增,在(1,2)上单调递减,在(2,+∞)上单调递增,
则当x=1时,f(x)有极大值
当x=2时,f(x)有极小值f(2)=-4+2ln2。
(Ⅲ)令g(x)=x·f′(x)=x2+ax-(a+1),x∈[1,-a],
依题意,x∈[1,-a]时,-2a2≤g(x)≤2a2恒成立;
即g(x)min≥-2a2且g(x)max≤2a2,而g(x)的对称轴为
(ⅰ)当
g(x)min=g(1)=0>-2a2成立,g(x)max=g(-a)=-a-1≤2a2也成立;
故-2<a<-1符合题意;
(ⅱ)当
由
g(x)max=g(-a)=-a-1≤2a2成立或g(x)max=g(1)=0≤2a2也成立,故a≤-2符合题意;
综合(ⅰ)(ⅱ)知a<-1都符合题意。
练习册系列答案
相关题目
| π |
| 2 |
A、f(x)=2sin(πx+
| ||
B、f(x)=2sin(2πx+
| ||
C、f(x)=2sin(πx+
| ||
D、f(x)=2sin(2πx+
|