题目内容

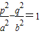
已知双曲线-=1(a>0),b>0的离心率是,过双曲线上一点M作直线MA,MB交双曲线于A、B两点,且斜率分别为k1、k2,若点A、B关于原点对称,则k1•k2的值为( )
A.-
B.-
C.
D.
【答案】分析:设出M、N、P,表示出k1•k2,M、N、P代入双曲线方程并化简,代入双曲线的离心率乘积,求出k1•k2的值.
解答:解:设M(p,q),N(-p,-q),P(s,t),
则有k1•k2==

两式相等得:

k1•k2====
故选C.
点评:本题考查双曲线的标准方程,以及双曲线的简单性质,化简得到 K1•K2是解题的关键.
练习册系列答案
相关题目

违法和不良信息举报电话:027-86699610 举报邮箱:58377363@163.com

精英家教网