搜索
题目内容
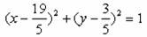
圆(
x
-3)
2
+(
y
+1)
2
=1关于直线
x
+2
y
-3=0对称的圆的方程是___
.
试题答案
相关练习册答案
答案
练习册系列答案
1加1阅读好卷系列答案
专项复习训练系列答案
初中语文教与学阅读系列答案
阅读快车系列答案
完形填空与阅读理解周秘计划系列答案
英语阅读理解150篇系列答案
奔腾英语系列答案
标准阅读系列答案
53English系列答案
考纲强化阅读系列答案
相关题目
已知直线
(m+1)x+(n+
1
2
)y=
6+
6
2
与圆
(x-3
)
2
+(y-
6
)
2
=5
相切,若对任意的m,n∈R
+
均有不等式2m+n≥k成立,那么正整数k的最大值是( )
A.3
B.5
C.7
D.9
下列直线方程中,与圆
(x-
3
)
2
+(y-1
)
2
=1
相切的是( )
A.x-y=0
B.x+y=0
C.y=0
D.x=0
在平面直角坐标系xOy中,已知直线
3
x+y-6=0与圆
(x-
3
)
2
+(y-1
)
2
=4交于A,B两点,则直线OA与直线OB的倾斜角之和为
.
若圆(x-3)
2
+(y+5)
2
=r
2
上有且只有两个点到直线4x-3y=2的距离为1,则r的范围是( )
A.(4,6) B.[4,6) C.(4,6] D.[4,6]
已知点P是抛物线y
2
=4x上的点,设点P到抛物线的准线的距离为d
1
,到圆(x+3)
2
+(y-3)
2
=1上的一动点Q距离为d
2
,则d
1
+d
2
的最小值是______________.
关 闭
试题分类
高中
数学
英语
物理
化学
生物
地理
初中
数学
英语
物理
化学
生物
地理
小学
数学
英语
其他
阅读理解答案
已回答习题
未回答习题
题目汇总
试卷汇总
练习册解析答案