题目内容
已知数列{an}中,(Ⅰ)令bn=an+1-an-1,求证数列{bn}是等比数列,并求通项bn;
(Ⅱ)求数列{an}的通项公式an;
(Ⅲ)设Sn、Tn分别为数列{an}、{bn}的前n项和,是否存在常数λ,使得数列
【答案】分析:(Ⅰ)通过已知条件求出a1,a2,利用bn=an+1-an-1,得到bn+1=an+2-an+1-1,推出
为常数,说明是等比数列,然后求解通项bn;
(Ⅱ)利用(Ⅰ)求出的bn,利用累加法以及等比数列求和公式,求数列{an}的通项公式an;
(Ⅲ)求出数列{an}、{bn}的前n项和Sn、Tn,利用数列
为等差数列的充要条件,化简数列
,求出λ的值即可.
解答:解:( I)由已知得
,∵
,
又bn=an+1-an-1,bn+1=an+2-an+1-1,
∴
.
数列{bn}是以
为首项以
为公比的等比数列,bn=
.
(Ⅱ)因为bn=
,
∴an+1-an=1
,a2-a1=1
;a3-a2=
,…,an+1-an=1
,
将以上各式相加得:an-a1=n+1-
,
an=n-
-
=
.
(Ⅲ)存在λ=2,使得数列
为等差数列,
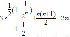
∵Sn=a1+a2+…+an
=
+(1+2+…+n)-2n
=
=
.
.
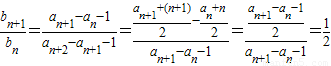
数列
是等差数列的充要条件是
、B是常数)
即
,
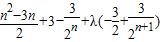
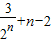
又
=
则
=0,当λ=2时,上式成立.
所以存在常数λ=2,使得数列
为等差数列.
点评:本题参考数列是等比数列的判定,通项公式的求法,前n项和的求法,考查分析问题解决问题的能力.
(Ⅱ)利用(Ⅰ)求出的bn,利用累加法以及等比数列求和公式,求数列{an}的通项公式an;
(Ⅲ)求出数列{an}、{bn}的前n项和Sn、Tn,利用数列
解答:解:( I)由已知得
又bn=an+1-an-1,bn+1=an+2-an+1-1,
∴
数列{bn}是以
(Ⅱ)因为bn=
∴an+1-an=1
将以上各式相加得:an-a1=n+1-
an=n-
(Ⅲ)存在λ=2,使得数列
∵Sn=a1+a2+…+an
=
=
=
数列
即
又
则
所以存在常数λ=2,使得数列
点评:本题参考数列是等比数列的判定,通项公式的求法,前n项和的求法,考查分析问题解决问题的能力.
练习册系列答案
相关题目
已知数列{an}中,a1=1,2nan+1=(n+1)an,则数列{an}的通项公式为( )
A、
| ||
B、
| ||
C、
| ||
D、
|