题目内容
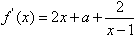
已知函数f(x)=x2+ax+2ln(x-1),a是常数。
(1)证明曲线y=f(x)在点(2,f(2))处的切线经过y轴上一个定点;
(2)若f′(x)>(a-3)x2对
x∈(2,3)恒成立,求a的取值范围;(参考公式:3x3-x2-2x+2=(x+1)(3x2-4x+2))
(3)讨论函数f(x)的单调区间。
(1)证明曲线y=f(x)在点(2,f(2))处的切线经过y轴上一个定点;
(2)若f′(x)>(a-3)x2对
(3)讨论函数f(x)的单调区间。
解:(1)
,
f'(2)=6+a,
曲线y=f(x)在点(2,f(2))处的切线为y-(2a+4)= (6+a)(x-2)
当x=0时,由切线方程得y=-8,
所以切线经过y轴上的定点(0,-8)。
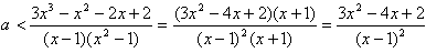
(2)由f'(x)>(a-3)x2得

对
所以
设
则
g(x)在区间(2,3)上单调递减
所以
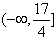
则a的取值范围为
。
(3)函数
的定义域为(1,+∞)

若a≥-6,则f'(x)≥0,f(x)在定义域(1,+∞)上单调递增;
若a<-6,解方程
得


x1>x2>1,当x>x1或1<x<x2时,f'(x)>0;
当x2<x<x1时,f'(x)<0,
所以f(x)的单调增区间是(1,x2)和(x1,+∞),单调减区间是[x2,x1]。
f'(2)=6+a,
曲线y=f(x)在点(2,f(2))处的切线为y-(2a+4)= (6+a)(x-2)
当x=0时,由切线方程得y=-8,
所以切线经过y轴上的定点(0,-8)。
(2)由f'(x)>(a-3)x2得
对
所以
设
则
g(x)在区间(2,3)上单调递减
所以
则a的取值范围为
(3)函数
若a≥-6,则f'(x)≥0,f(x)在定义域(1,+∞)上单调递增;
若a<-6,解方程
x1>x2>1,当x>x1或1<x<x2时,f'(x)>0;
当x2<x<x1时,f'(x)<0,
所以f(x)的单调增区间是(1,x2)和(x1,+∞),单调减区间是[x2,x1]。
练习册系列答案
相关题目
| π |
| 2 |
A、f(x)=2sin(πx+
| ||
B、f(x)=2sin(2πx+
| ||
C、f(x)=2sin(πx+
| ||
D、f(x)=2sin(2πx+
|