题目内容
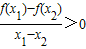
已知奇函数f(x)的定义域为(-∞,0)∪(0,+∞),且对任意正实数x1、x2(x1≠x2),恒有
A.
B.
C.
D.
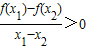
【答案】分析:根据对任意正实数x1、x2(x1≠x2),恒有
,易知函数的单调性,根据选项分析cos600°与
的大小,从而确定选项.
解答:解;∵对任意正实数x1、x2(x1≠x2),恒有
,f(x)的定义域为(-∞,0)∪(0,+∞),
∴f(x)在区间(-∞,0)、(0,+∞)单调递增,
而cos600°=-
,
=-
∴cos600°<
<0
∴-cos600°>
>0
f(-cos600°)>f(-
)
故选D.
点评:考查函数的单调性的定义及应用定义比较函数值的大小,此题和三角函数值和对数结合起来,增加了题目的难度和灵活性,属中档题.
解答:解;∵对任意正实数x1、x2(x1≠x2),恒有
∴f(x)在区间(-∞,0)、(0,+∞)单调递增,
而cos600°=-
∴cos600°<
∴-cos600°>
f(-cos600°)>f(-
故选D.
点评:考查函数的单调性的定义及应用定义比较函数值的大小,此题和三角函数值和对数结合起来,增加了题目的难度和灵活性,属中档题.
练习册系列答案
相关题目