题目内容
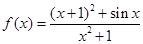
设函数
的最大值为
,最小值为
,则
__________.
【答案】
2
【解析】
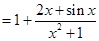
试题分析:![]()
,
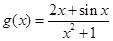
设
,则
,
为奇函数,若其最大值为
,则最小值为
,它们互为相反数,
所以
,
所以
.
考点:1.函数的奇偶性;2.函数的最值.
练习册系列答案
相关题目
题目内容
设函数
的最大值为
,最小值为
,则
__________.
2
【解析】
试题分析:![]()
,
设
,则
,
为奇函数,若其最大值为
,则最小值为
,它们互为相反数,
所以
,
所以
.
考点:1.函数的奇偶性;2.函数的最值.