搜索
题目内容
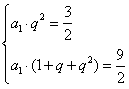
在等比数列
中,
,求首项
及公比q。
试题答案
相关练习册答案
解:由题意,得
,
解得:
或
。
练习册系列答案
课课练与单元测试系列答案
世纪金榜小博士单元期末一卷通系列答案
单元测试AB卷台海出版社系列答案
黄冈新思维培优考王单元加期末卷系列答案
名校名师夺冠金卷系列答案
小学英语课时练系列答案
培优新帮手系列答案
天天向上一本好卷系列答案
小学生10分钟应用题系列答案
课堂作业广西教育出版社系列答案
相关题目
(1)
为等差数列
的前
项和,
,
,求
.
(2)在等比数列
中,若
求首项
和公比
.
(本小题满分12分)
(1)
为等差数列{a
n
}的前n项和,
,
,求
.
(2)在等比数列
中,若
求首项
和公比
。
(1)
为等差数列
的前
项和,
,
,求
.
(2)在等比数列
中,若
求首项
和公比
.
(1)
为等差数列
的前
项和,
,
,求
.
(2)在等比数列
中,若
求首项
和公比
.
关 闭
试题分类
高中
数学
英语
物理
化学
生物
地理
初中
数学
英语
物理
化学
生物
地理
小学
数学
英语
其他
阅读理解答案
已回答习题
未回答习题
题目汇总
试卷汇总
练习册解析答案