题目内容
(1)设
(2)设
(3)记△OAB与△OPQ的面积分别为S、T.求
【答案】分析:(1)寻找包含
的图形△OPG,利用向量的加法法则知
,在根据
和
即可
(2)根据(1)结合
,
知:
在根据G是△OAB的重心知:
,最后根据
、
不共线得到关于x,y,λ的方程组即可求解
(3)根据三角形面积计算公式
,知
=xy,由点P、Q的定义知
,
,
且
时,y=1;x=1时,
.此时,均有
.
时,
.此时,均有
.得到
的范围为
在根据(2)知
进行作差证明即可
解答:解:(1)
=
(2)一方面,由(1),得
;①
另一方面,∵G是△OAB的重心,
∴
.②
而
、
不共线,∴由①、②,
得
解之,得
,
∴
(定值).
(3)
.
由点P、Q的定义知
,
,
且
时,y=1;x=1时,
.
此时,均有
.
时,
.
此时,均有
.
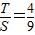
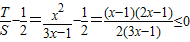
以下证明:
.
由(2)知
,
∵
,
∴
.
∵
,
∴
.
∴
的取值范围
.
点评:本题考查了向量的加减法,三角形的面积公式,作差法证明不等式,属于基础题.
(2)根据(1)结合
(3)根据三角形面积计算公式
且
解答:解:(1)
(2)一方面,由(1),得
另一方面,∵G是△OAB的重心,
∴
而
得
解之,得
∴
(3)
由点P、Q的定义知
且
此时,均有
此时,均有
以下证明:
由(2)知
∵
∴
∵
∴
∴
点评:本题考查了向量的加减法,三角形的面积公式,作差法证明不等式,属于基础题.
练习册系列答案
相关题目