搜索
题目内容
若双曲线
-
=1(a>0)的离心率为2,则a=( )
A.2
B.
C.
D.1
试题答案
相关练习册答案
【答案】
分析:
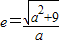
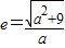
由题意知
=2,(a>0),由此可以求出a的值.
解答:
解:
=2,(a>0),
∴a=
.
故选B.
点评:
本题考查双曲线的离心率,比较简单.会利用公式就能求出实数a.
练习册系列答案
名校密题同步课时作业系列答案
暑假作业南方日报出版社系列答案
快乐暑假山西教育出版社系列答案
第1考场期末大考卷系列答案
暑假作业西安出版社系列答案
新课堂同步阅读系列答案
优佳学案云南省初中学业水平考试总复习系列答案
暑假篇假期园地广西师范大学出版社系列答案
南方新课堂快乐暑假系列答案
百年学典快乐假期暑假作业系列答案
相关题目
若双曲线
=1(a>0,b>0)的一个焦点到一条渐近线的距离等于a,则该双曲线的离心率为
.
若双曲线
-
=1(a>0)的离心率为2,则a=( )
A.2
B.
C.
D.1
若双曲线
-
=1(a>0)的离心率为2,则a=( )
A.2
B.
C.
D.1
若双曲线
=1(a>b>0)的左、右焦点分别为F
1
、F
2
,线段F
1
F
2
被抛物线y
2
=2bx的焦点分成7:5的两段,则此双曲线的离心率为
.
若双曲线
=1(a>b>0)的左右焦点分别为F
1
、F
2
,线段F
1
F
2
被抛物线y
2
=2bx的焦点分成7:5的两段,则此双曲线的离心率为( )
A.
B.
C.
D.
关 闭
试题分类
高中
数学
英语
物理
化学
生物
地理
初中
数学
英语
物理
化学
生物
地理
小学
数学
英语
其他
阅读理解答案
已回答习题
未回答习题
题目汇总
试卷汇总
练习册解析答案