题目内容

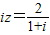
复数z满足,则复数z的虚部是( )
A.1
B.-1
C.i
D.-i
【答案】分析:由题意可得 ,从而得到复数z的虚部是-1.
解答:解:∵复数z满足,则 ,故复数z的虚部是-1,
故选B.
点评:本题主要考查复数的基本概念,两个复数代数形式的乘除法,虚数单位i的幂运算性质,属于基础题.
练习册系列答案
相关题目

违法和不良信息举报电话:027-86699610 举报邮箱:58377363@163.com

精英家教网