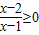
题目内容
不等式A.[2,+∞)
B.(-∞,1]∪(2,+∞)
C.(-∞,1)
D.(-∞,1)∪[2,+∞)
【答案】分析:直接转化分式不等式为二次不等式组,然后求解即可.
解答:解:因为不等式
的解集,等价于
,
解得x<1或x≥2.
所以不等式的解集为:(-∞,1)∪[2,+∞).
故选D.
点评:本题考查分式不等式的解法,二次不等式组的解法,考查转化思想,计算能力.
解答:解:因为不等式
解得x<1或x≥2.
所以不等式的解集为:(-∞,1)∪[2,+∞).
故选D.
点评:本题考查分式不等式的解法,二次不等式组的解法,考查转化思想,计算能力.
练习册系列答案
相关题目