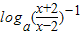
题目内容
给出函数(1)求函数的定义域;
(2)判断函数的奇偶性.
【答案】分析:(1)由题意,
,解得:x<-2或x>2,由此能求出函数定义域.
(2)由定义域关于原点对称,f(-x)=loga
=
=-
=-f(x)能得到函数y=f(x)为奇函数.
解答:解:(1)由题意,
,解得:x<-2或x>2,
所以,函数定义域为{x|x<-2或x>2}.
(2)由(1)可知定义域关于原点对称,则
f(-x)=loga
=
=
=-
=-f(x).
所以函数y=f(x)为奇函数.
点评:本题考查对数函数定义域的求法,考查函数的奇偶性的判断,是基础题.解题时要认真审题,仔细解答.
(2)由定义域关于原点对称,f(-x)=loga
解答:解:(1)由题意,
所以,函数定义域为{x|x<-2或x>2}.
(2)由(1)可知定义域关于原点对称,则
f(-x)=loga
所以函数y=f(x)为奇函数.
点评:本题考查对数函数定义域的求法,考查函数的奇偶性的判断,是基础题.解题时要认真审题,仔细解答.
练习册系列答案
相关题目