题目内容
已知函数f(x)=ax+(1)a=2时,求f(x)的最小值;
(2)若a≥0且f(x)在[1,2]上是单调函数,求实数a的取值范围.
【答案】分析:(1)把a的值代入函数解析式,求导后由导函数等于0解得导函数的零点,由导函数的零点对定义域分段,利用导函数在各区间段内的符号判断原函数的单调性,从而求得元函数的最小值;
(2)求出原函数的导函数,分a=0和a>0两种情况分析f(x)在[1,2]上是单调函数时的导函数的符号,对于a>0时,由导函数在x∈[1,2]时小于等于0恒成立列式求解a的取值范围.
解答:解:(1)由a=2,得
,
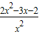
∴
=
.
令f′(x)=0,得x=2或x=-
.
列表:
∴f(x)min=f(2)=5-3ln2;
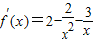
(2)
=
.
若a=0,x∈[1,2]时f′(x)<0
∴f(x)在[1,2]上单调递减,
若a>0,由f′(1)<0,且f(x)在[1,2]上是单调函数,
∴f′(x)≤0对x∈[1,2]恒成立,
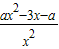
即x∈[1,2]时,g(x)=ax2-3x-a≤0恒成立,
∴
,即
,解得0<a≤2.
综上得0≤a≤2.
点评:本题考查了函数的单调性和导数之间的关系,考查了利用导数求函数在闭区间上的最值,考查了分类讨论的数学思想方法,训练了借助于“三个二次”的结合解决问题,是中档题.
(2)求出原函数的导函数,分a=0和a>0两种情况分析f(x)在[1,2]上是单调函数时的导函数的符号,对于a>0时,由导函数在x∈[1,2]时小于等于0恒成立列式求解a的取值范围.
解答:解:(1)由a=2,得
∴
令f′(x)=0,得x=2或x=-
列表:
| x | (0,2) | 2 | (2,+∞) |
| f′(x) | - | + | |
| f(x) | 减函数 | 增函数 |
(2)
若a=0,x∈[1,2]时f′(x)<0
∴f(x)在[1,2]上单调递减,
若a>0,由f′(1)<0,且f(x)在[1,2]上是单调函数,
∴f′(x)≤0对x∈[1,2]恒成立,
即x∈[1,2]时,g(x)=ax2-3x-a≤0恒成立,
∴
综上得0≤a≤2.
点评:本题考查了函数的单调性和导数之间的关系,考查了利用导数求函数在闭区间上的最值,考查了分类讨论的数学思想方法,训练了借助于“三个二次”的结合解决问题,是中档题.
练习册系列答案
相关题目