题目内容
已知椭圆(1)求该椭圆的标准方程;
(2)过椭圆的一个焦点且互相垂直的直线l1,l2分别与椭圆交于A,B和C,D,是否存在常数λ,使得|AB|+|CD|=λ|AB|•|CD|?若存在,求出实数λ的值;若不存在,请说明理由.
【答案】分析:(1)由椭圆
+
=1(a>b>0)的离心率e=
=
,经过点(
,1)即
+
=1可求得a2,b2;
(2)设出直线AB,CD的方程与椭圆方程联立,求得相应弦长,利用|AB|+|CD|=λ|AB|•|CD|,可Q求得λ,从而问题得到解决.
解答:解:(1)∵椭圆
+
=1(a>b>0)的离心率为
,经过点(
,1),
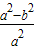
∴e=
=
?
=
=
①,
+
=1②,
由①②解得a2=8,b2=4,
∴该椭圆的标准方程为:
+
=1;
(2)∵椭圆
+
=1的左焦点F1(-2,0);
设过其左焦点F1的直线AB的方程为:y=k1(x+2),k1≠0
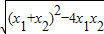
由方程组
得(2
+1)x2+8
x+8
-8=0,
设A(x1,y1),B(x2,y2),则x1+x2=
,x1•x2=
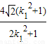
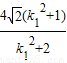
由弦长公式得|AB|=
•
=
,
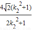
同理设C(x3,y3),D(x4,y4),|CD|=
•
=
,,
由(1)k1•k2=-1得k2=-
,代入得|CD|=
,
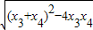
∵|AB|+|CD|=λ|AB|•|CD|,
∴λ=
=
+
=
=
,则存在λ=
,使得|AB|+|CD|=λ|AB|•|CD|恒成立.
点评:本题重点考查直线与圆锥曲线的综合,解题的关键是直线与椭圆方程联立,利用弦长公式,综合性强,属于难题.
(2)设出直线AB,CD的方程与椭圆方程联立,求得相应弦长,利用|AB|+|CD|=λ|AB|•|CD|,可Q求得λ,从而问题得到解决.
解答:解:(1)∵椭圆
∴e=
由①②解得a2=8,b2=4,
∴该椭圆的标准方程为:
(2)∵椭圆
设过其左焦点F1的直线AB的方程为:y=k1(x+2),k1≠0
由方程组
设A(x1,y1),B(x2,y2),则x1+x2=
由弦长公式得|AB|=
同理设C(x3,y3),D(x4,y4),|CD|=
由(1)k1•k2=-1得k2=-
∵|AB|+|CD|=λ|AB|•|CD|,
∴λ=
点评:本题重点考查直线与圆锥曲线的综合,解题的关键是直线与椭圆方程联立,利用弦长公式,综合性强,属于难题.
练习册系列答案
相关题目