题目内容
已知函数f(x)=x|x2-3|,x∈[0,m],其中m∈R,且m>0,
(Ⅰ)若m<1,求证:函数f(x)是增函数;
(Ⅱ)如果函数f(x)的值域是[0,2],试求m的取值范围;
(Ⅲ)如果函数f(x)的值域是[0,λm2],试求实数λ的最小值。
(Ⅰ)若m<1,求证:函数f(x)是增函数;
(Ⅱ)如果函数f(x)的值域是[0,2],试求m的取值范围;
(Ⅲ)如果函数f(x)的值域是[0,λm2],试求实数λ的最小值。
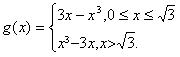
解:(Ⅰ)当m<1时,f(x)=x(3-x2)=3x-x3,
因为f′(x)=3-3x2=3(1-x2)>0,
所以f(x)是增函数;
(Ⅱ)令g(x)=x|x2-3|,x≥0,
则
,
当
时,由g′(x)=3-3x2=0得x=1,
所以g(x)在[0,1]上是增函数,在
上是减函数;
当
时,由g′(x) =3x2-3>0,所以g(x)在
上是增函数,
所以当
时,函数g(x)的最大值是g(1)=2,最小值是g(0)=
,
从而0<m<1均不符合题意,且
均符合题意;
当x≥0时,在
时,f(x)∈[0,2];
在
时,f(x)∈[0,f(m)];
这时f(x)的值域是[0,2]的充要条件是f(m)≤2,
即m3-3m≤2,(m-2)(m+1)2≤0,
解得
,
综上所述,m的取值范围是[1,2]。
(Ⅲ)据(Ⅱ)知,当0<m<1时,函数f(x)的最大值是f(m)=3m-m3,
由题意知,3m-m3=λm2,即
-m是减函数,
故λ的取值范围是(2,+∞);
当1≤m≤2时,函数f(x)的最大值是f(1)=2,
由题意知,2=λm2,即
是减函数,故λ的取值范围是
;
当m>2时,函数f(x)的最大值是f(m)=m3-3m,
由题意知,m3-3m=λm2,即λ=m-
是增函数,
故λ的取值范围是
;
综上所述,λ的最小值是
,且此时m=2。
练习册系列答案
相关题目
| π |
| 2 |
A、f(x)=2sin(πx+
| ||
B、f(x)=2sin(2πx+
| ||
C、f(x)=2sin(πx+
| ||
D、f(x)=2sin(2πx+
|