题目内容
已知函数(Ⅰ)判定函数的奇偶性;
(Ⅱ)求函数的值域.
【答案】分析:(1)先求出函数的定义域,看是否关于原点对称,定义域关于原点对称时,再看f(-x)与函数f(x)的关系,依据奇偶性的定义做出判断.
(2)利用基本不等式求值域是解决函数值域问题的一种方法,关键要用到基本不等式的放缩办法,要注明等号成立的条件.
解答:解:(Ⅰ)函数f(x)的定义域为(-∞,0)∪(0,+∞)
又
∵
f(-x)≠-f(x)
∴f(-x)≠f(x)
故f(x)为非奇非偶函数
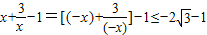
(Ⅱ)当x>0时,
当x<0时,
,
∴函数f(x)的值域是
点评:本题考查求函数的定义域、值域的方法,函数奇偶性的判断方法,解答关键是利用函数解析式的特点选择合适的方法求解函数的值域,本题注意到函数表达式的两项均为正项,积为定值.
(2)利用基本不等式求值域是解决函数值域问题的一种方法,关键要用到基本不等式的放缩办法,要注明等号成立的条件.
解答:解:(Ⅰ)函数f(x)的定义域为(-∞,0)∪(0,+∞)
又
故f(x)为非奇非偶函数
(Ⅱ)当x>0时,
当x<0时,
∴函数f(x)的值域是
点评:本题考查求函数的定义域、值域的方法,函数奇偶性的判断方法,解答关键是利用函数解析式的特点选择合适的方法求解函数的值域,本题注意到函数表达式的两项均为正项,积为定值.
练习册系列答案
相关题目