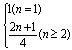
题目内容
已知数列{an}中,a1=1,当n≥2时,
,
(Ⅰ)证明数列
是一个等差数列;
(Ⅱ)求an。
(Ⅰ)证明数列
(Ⅱ)求an。
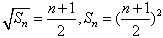
解:(1)当n=1时,S1=a1=1;
当 n≥2时,an=Sn-Sn-1=
,
而
≠0,
∴
,
∴数列
是一个等差数列。
(2)由(1)得
,
当n=1时,a1=S1;
当n>1时,an=Sn-Sn-1=
,
∴an=
。
当 n≥2时,an=Sn-Sn-1=
而
∴
∴数列
(2)由(1)得
当n=1时,a1=S1;
当n>1时,an=Sn-Sn-1=
∴an=
练习册系列答案
相关题目
已知数列{an}中,a1=1,2nan+1=(n+1)an,则数列{an}的通项公式为( )
A、
| ||
B、
| ||
C、
| ||
D、
|