题目内容
已知Sn是数列{an}的前n项和,an>0,(1)求证:{an}是等差数列;
(2)若数列{bn}满足b1=2,
【答案】分析:(1)由
,知a1=1,
,
,故(an+an-1)(an-an-1-1)=0,由此能够证明{an}是等差数列.
(2)由(1)知an=n,
,由此利用累加法能够求出数列{bn}的通项公式bn.
解答:(本小题满分15分)
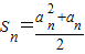
解:(1)∵
,n∈N*,
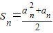
∴当n=1时,
,
解得a1=1或a1=0(舍去)…(2分)
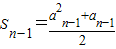
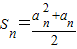
当n≥2时,
…①
…②
①-②得:
…(2分)
∴(an+an-1)(an-an-1-1)=0,
∵an>0,∴an-an-1=1.
所以{an}是等差数列.…(3分)
(2)由(1)知an=1+(n-1)×1=n…(1分)
,
b2-b1=2,
,
…
,
以上各式相加得:
…(6分)
∴
…(1分)
点评:本题考查等差数列的证明,考查数列的通项公式的求法.解题时要认真审题,仔细解答,注意累加法的合理运用.
(2)由(1)知an=n,
解答:(本小题满分15分)
解:(1)∵
∴当n=1时,
解得a1=1或a1=0(舍去)…(2分)
当n≥2时,
①-②得:
∴(an+an-1)(an-an-1-1)=0,
∵an>0,∴an-an-1=1.
所以{an}是等差数列.…(3分)
(2)由(1)知an=1+(n-1)×1=n…(1分)
b2-b1=2,
…
以上各式相加得:
∴
点评:本题考查等差数列的证明,考查数列的通项公式的求法.解题时要认真审题,仔细解答,注意累加法的合理运用.
练习册系列答案
相关题目