搜索
题目内容
已知数列{a
n
}满足a
1
+2a
2
+2
2
a
3
+…+
2
n-1
a
n
=n
2
(n∈N*)。
(1)求数列{a
n
}的通项公式;
(2)求数列{a
n
}的前n项和S
n
。
试题答案
相关练习册答案
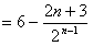
解:(1)设数列
的前n项和为
,则
∴
∴
。
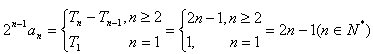
(2)由
①
②
由②-①得
。
练习册系列答案
口算应用题卡系列答案
中考考点经典新题系列答案
英语阅读系列答案
课堂导学案系列答案
中考新航标初中重点知识总复习指导系列答案
金点新课标同步精练系列答案
教材精析精练字词句篇系列答案
上海中考总动员系列答案
春雨教育同步作文系列答案
新课标应用题系列答案
相关题目
已知数列{a
n
}满足:a
1
=1且
a
n+1
=
3+4
a
n
12-4
a
n
, n∈
N
*
.
(1)若数列{b
n
}满足:
b
n
=
1
a
n
-
1
2
(n∈
N
*
)
,试证明数列b
n
-1是等比数列;
(2)求数列{a
n
b
n
}的前n项和S
n
;
(3)数列{a
n
-b
n
}是否存在最大项,如果存在求出,若不存在说明理由.
已知数列{a
n
}满足
1
2
a
1
+
1
2
2
a
2
+
1
2
3
a
3
+…+
1
2
n
a
n
=2n+1
则{a
n
}的通项公式
.
已知数列{a
n
}满足:a
1
=
3
2
,且a
n
=
3n
a
n-1
2
a
n-1
+n-1
(n≥2,n∈N
*
).
(1)求数列{a
n
}的通项公式;
(2)证明:对于一切正整数n,不等式a
1
•a
2
•…a
n
<2•n!
已知数列{a
n
}满足a
n+1
=|a
n
-1|(n∈N
*
)
(1)若
a
1
=
5
4
,求a
n
;
(2)若a
1
=a∈(k,k+1),(k∈N
*
),求{a
n
}的前3k项的和S
3k
(用k,a表示)
(2012•北京模拟)已知数列{a
n
}满足a
n+1
=a
n
+2,且a
1
=1,那么它的通项公式a
n
等于
2n-1
2n-1
.
关 闭
试题分类
高中
数学
英语
物理
化学
生物
地理
初中
数学
英语
物理
化学
生物
地理
小学
数学
英语
其他
阅读理解答案
已回答习题
未回答习题
题目汇总
试卷汇总
练习册解析答案