题目内容
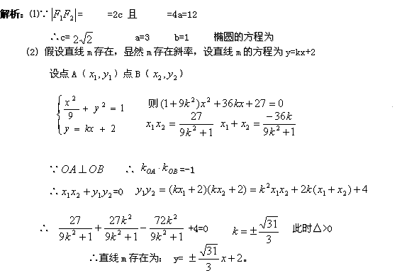
已知椭圆C的两个焦点为F1(
,0),F2(
,0).
⑴设直线l过F1与椭圆C交于M、N两点,且△M F2N的周长为12,求椭圆C的方程。
⑵是否存在直线m过点P(0,2),与⑴中的椭圆C交于A、B两点,且以AB为直径的圆过
原点?若存在,求出直线m的方程;若不存在,请说明理由.w
练习册系列答案
相关题目
题目内容
已知椭圆C的两个焦点为F1(
,0),F2(
,0).
⑴设直线l过F1与椭圆C交于M、N两点,且△M F2N的周长为12,求椭圆C的方程。
⑵是否存在直线m过点P(0,2),与⑴中的椭圆C交于A、B两点,且以AB为直径的圆过
原点?若存在,求出直线m的方程;若不存在,请说明理由.w