题目内容
在△ABC中,BC=2,AC=
,AB=
+1。
(Ⅰ)求
·
;
(Ⅱ)设△ABC的外心为O,若
,求m、n的值。
(Ⅰ)求
(Ⅱ)设△ABC的外心为O,若
解:(Ⅰ)由余弦定理知
,
∴
·
=|
|·|
|cosA=
+1。
(Ⅱ)由
,
知
,
∴
,
∵O为△ABC的外心,
∴
·
=|
|·|
|cos∠BAO=
,
同理,
·
=1,
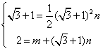
即
,
解得:m=
,n=
。
∴
(Ⅱ)由
知
∴
∵O为△ABC的外心,
∴
同理,
即
解得:m=
练习册系列答案
相关题目
在△ABC中,|BC|=2|AB|,∠ABC=120°,则以A,B为焦点且过点C的双曲线的离心率为( )
A、
| ||||
B、
| ||||
C、
| ||||
D、
|
在△ABC中,(
+
)•
=|
|2,
•
=3,|
|=2,则△ABC的面积是( )
| BC |
| BA |
| AC |
| AC |
| BA |
| BC |
| BC |
A、
| ||||
B、
| ||||
C、
| ||||
| D、1 |