题目内容
22.设f(x)是定义在R上的偶函数,其图象关于直线x=1对称.对任意x1,x2∈[0,Ⅰ.求f(
),f(
);
Ⅱ.证明f(x)是周期函数;
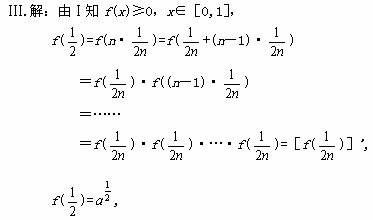
Ⅲ.记an=f(2n+
),求
(lnan).
22.本小题主要考查函数的概念、图象,函数的奇偶性和周期性以及数列极限等基础知识;考查运算能力和逻辑思维能力.
![]()
![]()
![]()
练习册系列答案
相关题目
题目内容
22.设f(x)是定义在R上的偶函数,其图象关于直线x=1对称.对任意x1,x2∈[0,Ⅰ.求f(
),f(
);
Ⅱ.证明f(x)是周期函数;
Ⅲ.记an=f(2n+
),求
(lnan).
22.本小题主要考查函数的概念、图象,函数的奇偶性和周期性以及数列极限等基础知识;考查运算能力和逻辑思维能力.
![]()
![]()
![]()