题目内容
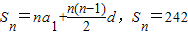
等差数列{an}的前n项和记为Sn,已知a10=30,a20=50.(1)求数列{an}的通项an;
(2)若Sn=242,求n;
(3)令
【答案】分析:(1)利用等差数列的通项公式,根据a10和a20的值建立方程组,求得a1和d,则通项an可得.
(2)把等差数列的求和公式代入Sn=242进而求得n.
(3)将通项an可代入求出数列{bn}的通项公式,然后求出Tn和2Tn并将两式相减,即可得出结果.
解答:解:(1)由an=a1+(n-1)d,a10=30,a20=50,得方程组
,解得a1=12,d=2.∴an=12+(n-1)•2=2n+10…(3分)
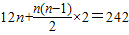
(2)由
得方程
解得n=11或n=-22(舍去),∴n=11…(6分)
(3)
…(7分)
…(9分)
两式相减得:
…(10分)∴
=-
+n•2n+1=(n-1)•2n+1+2…(12分)
点评:本题主要考查等差数列的通项公式、求和公式,考查运算能力.
(2)把等差数列的求和公式代入Sn=242进而求得n.
(3)将通项an可代入求出数列{bn}的通项公式,然后求出Tn和2Tn并将两式相减,即可得出结果.
解答:解:(1)由an=a1+(n-1)d,a10=30,a20=50,得方程组
(2)由
解得n=11或n=-22(舍去),∴n=11…(6分)
(3)
两式相减得:
=-
点评:本题主要考查等差数列的通项公式、求和公式,考查运算能力.
练习册系列答案
相关题目
设等差数列{an}的前n项和为Sn,则a5+a6>0是S8≥S2的( )
| A、充分而不必要条件 | B、必要而不充分条件 | C、充分必要条件 | D、既不充分也不必要条件 |