题目内容
椭圆A.3
B.
C.
D.
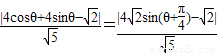
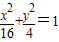
【答案】分析:设椭圆
上的点P(4cosθ,2sinθ),由点到直线
的距离公式,计算可得答案.
解答:解:设椭圆
上的点P(4cosθ,2sinθ)
则点P到直线
的距离
d=
;
故选D.
点评:本题考查直线和椭圆的位置关系,解题时要认真审题,仔细求解.
解答:解:设椭圆
则点P到直线
d=
故选D.
点评:本题考查直线和椭圆的位置关系,解题时要认真审题,仔细求解.
练习册系列答案
相关题目