题目内容
等比数列{an}中,a3=1,q>0,满足2an+2-an+1=6an,则S5的值为( )A.31
B.121
C.
D.
【答案】分析:根据等比数列,n=1代入2an+2-an+1=6an,求出公比q,然后根据等比数列前n项和进行求解;
解答:解:∵等比数列{an}中,a3=1,q>0,
∴a1q2=1,
∵2an+2-an+1=6an,令n=1
∴2a3-a2=6a1,
可得2q2-q-6=0,
解得q=2,q=-
(舍去),
∵a1q2=1,∴a1=
,
∴an=
×2n-1=2n-3,
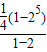
∴S5=
=
,
故选C;
点评:此题主要考查等比数列的性质以及前n项和公式,此题是一道基础题,考查的知识点比较单一;
解答:解:∵等比数列{an}中,a3=1,q>0,
∴a1q2=1,
∵2an+2-an+1=6an,令n=1
∴2a3-a2=6a1,
可得2q2-q-6=0,
解得q=2,q=-
∵a1q2=1,∴a1=
∴an=
∴S5=
故选C;
点评:此题主要考查等比数列的性质以及前n项和公式,此题是一道基础题,考查的知识点比较单一;
练习册系列答案
相关题目