题目内容
已知数列{an}的前n项和为Sn,
【答案】分析:利用数列递推式,再写一式,两式相减,进而可得{an+3}是从第二项起,以2为公比的等比数列,由此可得数列的通项.
解答:解:∵Sn+1=2Sn+3n+1,
∴n≥2时,Sn=2Sn-1+3n-2
两式相减可得:an+1=2an+3
∵S2=2S1+4,∴a2=6,不满足上式
又an+1+3=2(an+3),a2+3=9
∴{an+3}是从第二项起,以2为公比的等比数列
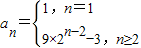
∴
(n≥2)
∴
(n≥2)
∴
点评:本题考查数列递推式,考查等比数列的通项公式的运用,考查学生的计算能力,确定{an+3}是以4为首项,2为公比的等比数列是关键.易忘记验证n=1时出现错误
解答:解:∵Sn+1=2Sn+3n+1,
∴n≥2时,Sn=2Sn-1+3n-2
两式相减可得:an+1=2an+3
∵S2=2S1+4,∴a2=6,不满足上式
又an+1+3=2(an+3),a2+3=9
∴{an+3}是从第二项起,以2为公比的等比数列
∴
∴
∴
点评:本题考查数列递推式,考查等比数列的通项公式的运用,考查学生的计算能力,确定{an+3}是以4为首项,2为公比的等比数列是关键.易忘记验证n=1时出现错误
练习册系列答案
相关题目
已知数列{an}的前n项和Sn=an2+bn(a、b∈R),且S25=100,则a12+a14等于( )
| A、16 | B、8 | C、4 | D、不确定 |