题目内容
已知椭圆
【答案】分析:分类讨论,利用离心率为
,建立方程,求出m,即可求椭圆的短轴长.
解答:解:焦点在x轴上时,
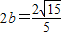
(1)由
可得
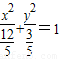
,此时方程为
,∴
;
(2)由
,无解;
焦点在y轴上时,
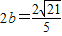
(3)由
可得m=
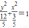
,此时方程为
,∴
;
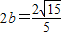
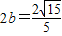
(4)由
,可得m=
,此时方程为
,∴
,
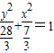
综上:
或
.
点评:本题考查椭圆的性质,考查分类讨论的数学思想,考查学生分析解决问题的能力,属于中档题.
解答:解:焦点在x轴上时,
(1)由
(2)由
焦点在y轴上时,
(3)由
(4)由
综上:
点评:本题考查椭圆的性质,考查分类讨论的数学思想,考查学生分析解决问题的能力,属于中档题.
练习册系列答案
相关题目
已知椭圆的离心率为e,两焦点分别为F1、F2,抛物线C以F1为顶点、F2为焦点,点P为抛物线和椭圆的一个交点,若e|PF2|=|PF1|,则e的值为( )
A、
| ||||
B、
| ||||
C、
| ||||
| D、以上均不对 |
已知椭圆的离心率为
,焦点是(-3,0),(3,0),则椭圆方程为( )
| 1 |
| 2 |
A、
| ||||
B、
| ||||
C、
| ||||
D、
|