题目内容
已知抛物线y2=8x,过点A(2,0)作倾斜角为( )
A.
B.
C.
D.8
【答案】分析:先表示出直线方程,代入抛物线方程可得方程3x2-20x+12=0,利用韦达定理,可求弦BC的中点P到y轴的距离.
解答:解:由题意,直线l方程为:y=
(x-2)
代入抛物线y2=8x整理得:3x2-12x+12=8x
∴3x2-20x+12=0
设B(x1,y1)、C(x2,y2)
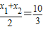
∴x1+x2=
∴弦BC的中点P到y轴的距离
故选A.
点评:本题以抛物线为载体,考查直线与抛物线的位置关系,考查韦达定理的运用,解题的关键是联立方程,利用韦达定理.
解答:解:由题意,直线l方程为:y=
代入抛物线y2=8x整理得:3x2-12x+12=8x
∴3x2-20x+12=0
设B(x1,y1)、C(x2,y2)
∴x1+x2=
∴弦BC的中点P到y轴的距离
故选A.
点评:本题以抛物线为载体,考查直线与抛物线的位置关系,考查韦达定理的运用,解题的关键是联立方程,利用韦达定理.
练习册系列答案
相关题目
已知抛物线y2=8x的准线与双曲线
-
=1(a>0,b>0)相交于A,B两点,双曲线的一条渐近线方程是y=2
x,点F是抛物线的焦点,且△FAB是直角三角形,则双曲线的标准方程是( )
| x2 |
| a2 |
| y2 |
| b2 |
| 2 |
A、
| ||||
B、x2-
| ||||
C、
| ||||
D、
|