题目内容
已知双曲线(1)求双曲线的方程;
(2)求该双曲线的渐近线方程、顶点坐标和焦点坐标.
【答案】分析:(1)先求直线l的方程,利用原点O到l的距离是
,建立方程,结合双曲线的离心率,即可求双曲线的方程;
(2)根据方程,可得双曲线的渐近线方程、顶点坐标和焦点坐标.
解答:解:(1)∵直线l过A(a,0)、B(0,-b)两点,
∴直线l的方程为
,即bx-ay-ab=0
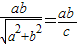
∵原点O到l的距离是
,∴
=
又
,∴
.…(5分)
故所求双曲线的方程为
.…(6分)
(2)渐近线方程为
,…(8分)
顶点坐标为
…(10分)
又C=2,所以焦点坐标为(2,0),(-2,0)…(12分)
点评:本题考查双曲线的标准方程,考查双曲线的几何性质,确定双曲线的标准方程是关键.
(2)根据方程,可得双曲线的渐近线方程、顶点坐标和焦点坐标.
解答:解:(1)∵直线l过A(a,0)、B(0,-b)两点,
∴直线l的方程为
∵原点O到l的距离是
又
故所求双曲线的方程为
(2)渐近线方程为
顶点坐标为
又C=2,所以焦点坐标为(2,0),(-2,0)…(12分)
点评:本题考查双曲线的标准方程,考查双曲线的几何性质,确定双曲线的标准方程是关键.
练习册系列答案
相关题目