题目内容
已知数列{an}的首项为a1=3,an与前n项和Sn之间满足2an=Sn·Sn-1(n≥2),
(1)求证:
是等差数列,并求公差;
(2)求数列{an}的通项公式。
(1)求证:
(2)求数列{an}的通项公式。
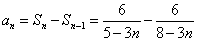
(1)证明:n≥2时,
,
即
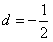
,这是与n无关的常数,
∴
成等差数列,
。
(2)解:
,
n≥2时,
,
n=1时,a1=3,
∴
。
即
∴
(2)解:
n≥2时,
n=1时,a1=3,
∴
练习册系列答案
相关题目