题目内容
已知函数
.
(1)若
在
处取得极值,求实数
的值;
(2)求函数
在区间
上的最大值.
![]()
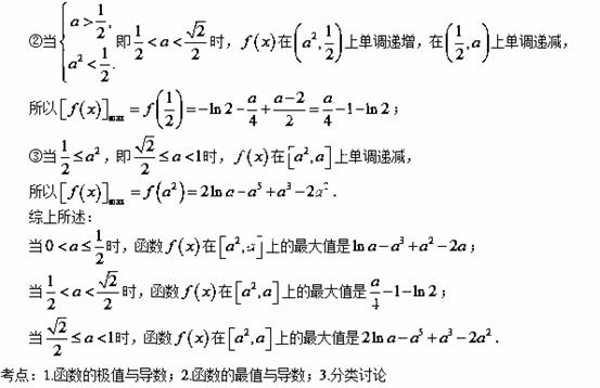
①当
时,
在
上单调递增,
所以
.
![]()
练习册系列答案
相关题目
某商场有四类食品,食品类别和种数见下表:现从中抽取一个容量为
的样本进行食品安全检测.若采用分层抽样的方法抽取样本,则抽取的植物油类与果蔬类食品种数之和是( )
| 类别 | 粮食类 | 植物油类 | 动物性食品类 | 果蔬类 |
| 种数 |
|
|
|
|
A.
B.
C.
D.![]()