题目内容
设, 已知函数
(Ⅰ) 证明在区间(-1,1)内单调递减, 在区间(1, + ∞)内单调递增;
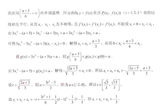
(Ⅱ) 设曲线在点处的切线相互平行, 且 证明.
已知函数y=(n∈N).
(Ⅰ)当n=1,2,3…时,把已知函数的图像和直线y=1的交点的横坐标依次记为<1;
(Ⅱ)对于每一个n的值,设为已知函数的图像上与x轴距离为1的两点,求证:n取任意一个正整数时,以为直径的圆都与一条定直线相切,并求出这条定直线的方程和切点的坐标.
设,已知函数的定义域是,值域是,若函数
g(x)=2︱x-1︱+m+1有唯一的零点,则( )
A.2 B. C.1 D.0
设,已知函数的导函数为奇函数,若曲线的一条切线的斜率是,则切点的横坐标为
A. B. C. D.
设,已知函数的定义域是,值域是,若函数g(x)=2︱x-1︱+m+1有唯一的零点,则( )