题目内容
已知正项数列{an},{bn}满足a1=3,a2=6,{bn}是等差数列,且对任意正整数n,都有( I)求数列{bn}的通项公式;
(Ⅱ)设
【答案】分析:(I)利用正项数列{an},{bn}满足对任意正整数n,都有
成等比数列,可得an=bnbn+1,结合{bn}是等差数列,可求数列的公差,从而可求数列{bn}的通项公式;
(Ⅱ)确定数列{an}的通项,利用裂项法求和,再作出比较,可得结论.
解答:解:(I)∵正项数列{an},{bn}满足对任意正整数n,都有
成等比数列,
∴an=bnbn+1,
∵a1=3,a2=6,∴b1b2=3,b2b3=6
∵{bn}是等差数列,∴b1+b3=2b2,∴b1=
,b2=
∴bn=
;
(Ⅱ)an=bnbn+1=
,则
=2(
)
∴Sn=2[(
)+(
)+…+(
)]=1-
∴2Sn=2-
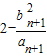
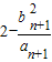
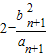
∵
=2-
∴2Sn-(
)=
∴当n=1,2时,2Sn<
;当n≥3时,2Sn>
.
点评:本题考查数列的通项与求和,考查大小比较,考查学生的计算能力,确定数列的通项是关键.
(Ⅱ)确定数列{an}的通项,利用裂项法求和,再作出比较,可得结论.
解答:解:(I)∵正项数列{an},{bn}满足对任意正整数n,都有
∴an=bnbn+1,
∵a1=3,a2=6,∴b1b2=3,b2b3=6
∵{bn}是等差数列,∴b1+b3=2b2,∴b1=
∴bn=
(Ⅱ)an=bnbn+1=
∴Sn=2[(
∴2Sn=2-
∵
∴2Sn-(
∴当n=1,2时,2Sn<
点评:本题考查数列的通项与求和,考查大小比较,考查学生的计算能力,确定数列的通项是关键.
练习册系列答案
相关题目