题目内容
已知函数f(x)=ax2+a2x+2b-a3,当x∈(-∞,-2)∪(6,+∞)时,f(x)<0;当x∈(-2,6)时,f(x)>0.(Ⅰ)求a、b的值;
(Ⅱ)设
【答案】分析:(Ⅰ)根据函数解析式,结合当x∈(-∞,-2)∪(6,+∞)时,f(x)<0;当x∈(-2,6)时,f(x)>0,可得参数a,b的关系式,从而可求a、b的值;
(Ⅱ)欲使F(x)<0恒成立,只要使kx2+4x-2<0恒成立,对k讨论,即可求得函数F(x)的值恒为负数时k的值.
解答:解:(Ⅰ)由题意,∵f(x)=ax2+a2x+2b-a3
又x∈(-2,6),f(x)>0;x∈(-∞,-2)∪(6,+∞),f(x)<0.
∴-2和6是方程ax2+a2x+2b-a3=0的两根.
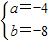
故
解得 
此时,f(x)=-4x2+16x+48
(Ⅱ)∵
∴欲使F(x)<0恒成立,只要使kx2+4x-2<0恒成立,则须要满足:
①当k=0时,原不等式化为4x-2<0,显然不合题意,舍去.
②当k≠0时,要使二次不等式的解集为x∈R,则必须满足:
,解得k<-2
综合①②得k的取值范围为(-∞,-2).
点评:本题考查不等式的解集与方程解的关系,考查恒成立问题,考查学生的计算能力,求得函数的解析式是关键.
(Ⅱ)欲使F(x)<0恒成立,只要使kx2+4x-2<0恒成立,对k讨论,即可求得函数F(x)的值恒为负数时k的值.
解答:解:(Ⅰ)由题意,∵f(x)=ax2+a2x+2b-a3
又x∈(-2,6),f(x)>0;x∈(-∞,-2)∪(6,+∞),f(x)<0.
∴-2和6是方程ax2+a2x+2b-a3=0的两根.
故
此时,f(x)=-4x2+16x+48
(Ⅱ)∵
∴欲使F(x)<0恒成立,只要使kx2+4x-2<0恒成立,则须要满足:
①当k=0时,原不等式化为4x-2<0,显然不合题意,舍去.
②当k≠0时,要使二次不等式的解集为x∈R,则必须满足:
综合①②得k的取值范围为(-∞,-2).
点评:本题考查不等式的解集与方程解的关系,考查恒成立问题,考查学生的计算能力,求得函数的解析式是关键.
练习册系列答案
相关题目