题目内容

在底面边长为2,高为1的正四棱柱中,分别为的中点.

(1)求异面直线所成的角;

(2)求平面与平面所成锐二面角的余弦值.

 

【答案】

(1);(2).

【解析】

试题分析:(1)先建系,并写出各点的坐标,利用向量法求出异面直线所成的角;(2)先求出平面与平面的法向量,然后利用法向量来计算平面与平面所成的锐二面角的余弦值.

试题解析:由于为正四棱柱,不妨以点为坐标原点,所在的直线分别为轴、轴、轴建立如下图所示的空间直角坐标系,则

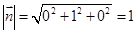
,则,     1分

,                                               3分

设异面直线所成的角为

即异面直线所成的角为;                                            4分

(2)如上图所示,则,设平面的一个法向量为

,即,解得

,即,将代入得,        

,可得平面的一个法向量为,                                 6分

同理可知平面的一个法向量为,                                   7分

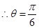
,       8分

设平面与平面所成锐二面角的平面角为

即平面与平面所成锐二面角的余弦值为.                           10分

考点:异面直线所成的角、二面角、空间向量法

 

练习册系列答案
相关题目

违法和不良信息举报电话:027-86699610 举报邮箱:58377363@163.com

精英家教网