题目内容
若椭圆A.
B.
C.
D.
【答案】分析:利用a与b表示出椭圆的离心率并且结合椭圆离心率的数值求出
,接着利用a,b表示出双曲线的离心率
,即可求出双曲线的离心率.
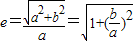
解答:解:由题意得椭圆
+
=1(a>b>0)的离心率e=
,
所以
=
.
所以
.
所以双曲线的离心率
=
.
故选B.
点评:解决此类问题的关键是熟悉椭圆与双曲线中的相关数值的关系,区分椭圆的离心率与双曲线的离心率的表达形式有何不同,离心率一直是高考考查的重点.
解答:解:由题意得椭圆
所以
所以
所以双曲线的离心率
故选B.
点评:解决此类问题的关键是熟悉椭圆与双曲线中的相关数值的关系,区分椭圆的离心率与双曲线的离心率的表达形式有何不同,离心率一直是高考考查的重点.
练习册系列答案
相关题目