题目内容
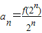
已知f(x)是定义在R上的不恒为零的函数,且对于任意的a、b∈R,满足 f(ab)=af(b)+bf(a),f(2)=2,令A.
B.
C.
D.
【答案】分析:对抽象函数赋值,令a=2,b=2n-1,可得数列{an}为等差数列,进而可得a1,可得通项公式.
解答:解:令a=2,b=2n-1,代入原式可得:
f(2n)=f(2•2n-1)=2f(2n-1)+2n-1f(2),而f(2)=2
故上式可化为f(2n)=2f(2n-1)+2n,
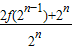
∴
=
=
,
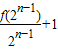
即an=an-1+1,而
,
所以数列{an}是以1为首项,1为公差的等差数列,
∴an=1+(n-1)×1=n
故选D
点评:本题考查等差数列的定义,涉及抽象函数的应用,属基础题.
解答:解:令a=2,b=2n-1,代入原式可得:
f(2n)=f(2•2n-1)=2f(2n-1)+2n-1f(2),而f(2)=2
故上式可化为f(2n)=2f(2n-1)+2n,
∴
即an=an-1+1,而
所以数列{an}是以1为首项,1为公差的等差数列,
∴an=1+(n-1)×1=n
故选D
点评:本题考查等差数列的定义,涉及抽象函数的应用,属基础题.
练习册系列答案
相关题目