题目内容
在甲、乙两个盒子中分别装有标号为1,2,3,4,5的五个球,现从甲、乙两个盒子中各取出1个球,每个小球被取出的可能性相等.(1)求取出的两个球上标号为相邻整数的概率;
(2)求取出的两个球上标号之和和标号之积都不小于5的概率.
【答案】分析:(1)本题是一个古典概型,从甲、乙两个盒子中各取出1个球,编号分别为x,y,用(x,y)表示抽取结果,列举出结果有25种,取出的两个球上标号为相邻整数的结果有8种,得到概率.
(2)本题是一个古典概型,从甲、乙两个盒子中各取出1个球,编号分别为x,y,用(x,y)表示抽取结果,列举出结果有25种,满足条件的事件是标号之和和之积都不小于5的基本事件,得到概率.
解答:解:(1)由题意知本题是一个古典概型,
设从甲、乙两个盒子中各取出1个球,编号分别为x,y,用(x,y)表示抽取结果,
结果有以下25种:(1,1),(1,2),(1,3),(1,4),(1,5);(2,1),
(2,2),(2,3),(2,4),(2,5);(3,1),(3,2),(3,3),
(3,4),(3,5);(4,1),(4,2),(4,3),(4,4),(4,5);
(5,1),(5,2),(5,3),(5,4),(5,5).
取出的两个球上标号为相邻整数的结果有以下8种(1,2),(2,1),
(2,3),(3,2),(3,4),(4,3),(4,5),(5,4),
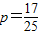
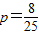
∴所求概率
.
即取出的两个球上标号为相邻整数的概率是
.
(2)由题意知本题是一个古典概型,
试验发生包含的事件数由上一问知是25,
满足条件的事件是标号之和和之积都不小于5的基本事件有(1,5),(2,3),(2,4),
(2,5),(3,2),(3,3),(3,4),(3,5),(4,2),(4,3),
(4,4),(4,5),(5,1),(5,2),(5,3),(5,4),(5,5)共有17个,
∴所求概率
.
即取出的两个球上标号之和能被3整除的概率是
.
点评:本题考查等可能事件的概率,考查用列举法表示出事件数,本题是一个基础题,适合文科和理科学生做,注意列举出按照一定是顺序,做到不重不漏.
(2)本题是一个古典概型,从甲、乙两个盒子中各取出1个球,编号分别为x,y,用(x,y)表示抽取结果,列举出结果有25种,满足条件的事件是标号之和和之积都不小于5的基本事件,得到概率.
解答:解:(1)由题意知本题是一个古典概型,
设从甲、乙两个盒子中各取出1个球,编号分别为x,y,用(x,y)表示抽取结果,
结果有以下25种:(1,1),(1,2),(1,3),(1,4),(1,5);(2,1),
(2,2),(2,3),(2,4),(2,5);(3,1),(3,2),(3,3),
(3,4),(3,5);(4,1),(4,2),(4,3),(4,4),(4,5);
(5,1),(5,2),(5,3),(5,4),(5,5).
取出的两个球上标号为相邻整数的结果有以下8种(1,2),(2,1),
(2,3),(3,2),(3,4),(4,3),(4,5),(5,4),
∴所求概率
即取出的两个球上标号为相邻整数的概率是
(2)由题意知本题是一个古典概型,
试验发生包含的事件数由上一问知是25,
满足条件的事件是标号之和和之积都不小于5的基本事件有(1,5),(2,3),(2,4),
(2,5),(3,2),(3,3),(3,4),(3,5),(4,2),(4,3),
(4,4),(4,5),(5,1),(5,2),(5,3),(5,4),(5,5)共有17个,
∴所求概率
即取出的两个球上标号之和能被3整除的概率是
点评:本题考查等可能事件的概率,考查用列举法表示出事件数,本题是一个基础题,适合文科和理科学生做,注意列举出按照一定是顺序,做到不重不漏.
练习册系列答案
相关题目