题目内容
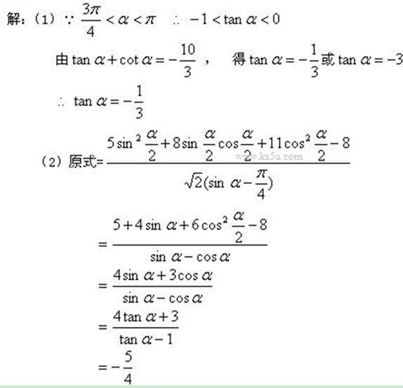
(本题满分10分)已知,。①求的值。②求的值。
解析
(本题满分10分)
已知向量,其中.
(1)试判断向量与能否平行,并说明理由?
(2)求函数的最小值.
(本题满分10分) 已知是一次函数,且满足,求函数的解析式。
已知函数.
①求的单调区间;
②求的最小值.
已知函数且.
(1)若函数是偶函数,求函数在区间上的最大值和最小值;
(2)要使函数在区间上单调递增,求的取值范围.
(本题满分10分)已知∩=m,a∥,a∥,求证:a∥m