题目内容
已知函数f(x)=log2(Ⅰ)写出函数的定义域;函数的奇偶性
(Ⅱ)根据函数单调性的定义,证明函数f(x)是增函数.
【答案】分析:(Ⅰ)要使f(x)有意义,即
>0,求得x的范围,可得f(x)的定义域.
(Ⅱ)由于 f(x)的定义域为(-1,1),且f(-x)=-f(x),可得f(x)为奇函数.
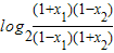
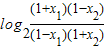
(Ⅲ)任取-1<x1<x2,求得f(x1)-f(x2)<0,即f(x1)<f(x2),可得函数f(x)是增函数.
解答:解:(Ⅰ)要使f(x)有意义,即
>0,∴f(x)的定义域为(-1,1).
(Ⅱ)由于 f(x)的定义域为(-1,1),且f(-x)=
=
=-
=-f(x),
∴f(x)为奇函数.
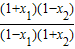
(Ⅲ)任取-1<x1<x2,则f(x1)-f(x2)=
-
=
.
由题设可得 0<
<1,∴
<0,故有f(x1)-f(x2)<0,即f(x1)<f(x2),
故函数f(x)是增函数.
点评:本题主要考查对数函数的图象和性质,函数的奇偶性、单调性的判断和证明,属于中档题.
(Ⅱ)由于 f(x)的定义域为(-1,1),且f(-x)=-f(x),可得f(x)为奇函数.
(Ⅲ)任取-1<x1<x2,求得f(x1)-f(x2)<0,即f(x1)<f(x2),可得函数f(x)是增函数.
解答:解:(Ⅰ)要使f(x)有意义,即
(Ⅱ)由于 f(x)的定义域为(-1,1),且f(-x)=
∴f(x)为奇函数.
(Ⅲ)任取-1<x1<x2,则f(x1)-f(x2)=
由题设可得 0<
故函数f(x)是增函数.
点评:本题主要考查对数函数的图象和性质,函数的奇偶性、单调性的判断和证明,属于中档题.
练习册系列答案
相关题目